西安市热力集团有限责任公司
首页
微信公众号
支付宝生活号

8d642c5938446bb2177422237124078f.jpg16907efc4b07e3614688ab7f5fe2e6ab.jpg

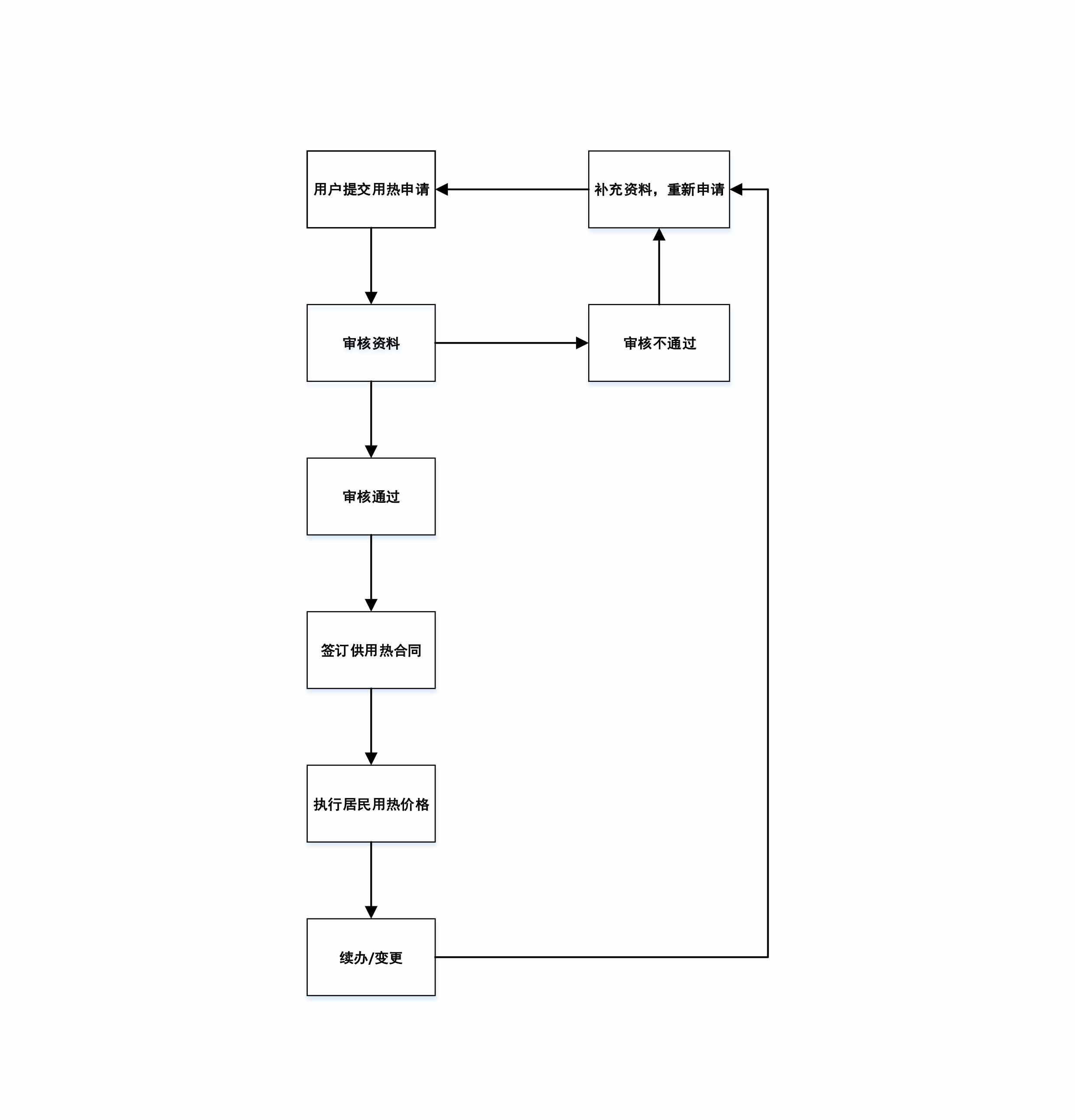
西安市热力集团有限责任公司 养老、托育机构用热收费流程幼儿园托育收费流程.jpg


养老托育用热申请


 

       西安市热力集团有限责任公司:


服务机构,位于            路,总建筑面积

         平米,本次申请用热面积          平米,该项目采暖

方式为           (地暖/散热片或其它),计划      年用热,申

请依照居民用热价格供热。

 

      特此申请。    

      项目联系人:

      联系电话:

                                     

 

 

                                               






西安市热力集团有限责任公司         Copyright @ 2012 版权所有
陕公网安备   61011202000024号    陕ICP备08002211号   
地址:西安市未央区未央路111-1号八水上筑B座 1-6层
服务热线:
96116
服务时间:全天24小时
西安市热力集团有限责任公司
Copyright @ 2012 版权所有
陕公网安备   61011202000024号
地址:西安市未央区未央路111-1号八水上筑B座 1-6层